

| ———BIM设计工具类 | 协同及交付平台 | 施工管理及运维 |
| ———工具集 | 协同管理平台 | 施工管理平台 |
| ———三维配筋系统 | 数字化移交平台 | 运维管理平台 |
| ———电缆自动寻址建模工具 | 轻量化工具及组件 | Aglos 5D开发平台 |
| ———三维地质系统 | 元件库 | 疏浚与场地工具 |
| ———交通安全设施BIM设计系统 | 征地与移民征拆系统 | |
| ———盾构管片设计软件 | | |
| ———三维埋地管道设计系统 | | |
ㅣ
隧道精细化设计

图片来源网络,侵权联系删除
隧道精细化设计不仅是推动项目实现精细化管理的关键路径,同时也是实现构件信息化管理的重要手段。随着BIM技术的不断发展,其在推动构件向精细化方向迈进发挥了积极作用。同时,精细化设计也为BIM技术的信息高效共享与可视化精准表达提供了坚实基础。
盾构管片正向设计软件探索构件精细化设计,从建模准备(交互式设计界面)、模型参数设置(涵盖几何尺寸、止水缝构造、螺栓孔布局及配筋)、到二维图纸的出图,全面贯通盾构管片精细化正向设计流程。

异于传统的盾构管片建模与出图
随着城市地下交通建设的迅速推进,盾构法因其高效、安全、适应性强等优势,已普遍应用于城市地铁隧道、市政公用隧道、跨江跨海交通隧道、水利电力隧洞以及铁路公路隧道等多个工程建设领域。
作为盾构隧道工程的关键部分,盾构管片的设计至关重要,而施工图纸的生成与管理则是影响设计与施工质量及进度的核心环节。传统的图纸绘制方式主要依赖人工操作,不仅效率较低,还容易出现错误。盾构管片正向设计软件,旨在提升盾构管片施工图的设计效率与质量,降低人为失误,推动盾构管片设计向智能化方向发展。
目前使用的衬砌环组合类型主要为以下三种:

通用楔形环因其设计、生产和安装的便捷性,成为目前绝大多数项目的首选方案。本篇幅将详细介绍针对通用楔形环的参数化建模与出图功能,显著提高设计人员的建模与出图效率,同时确保设计的准确性和灵活性。
盾构管片参数化创建如下

完成以上关键参数的设置后,即可绘制出管片环的三维模型。

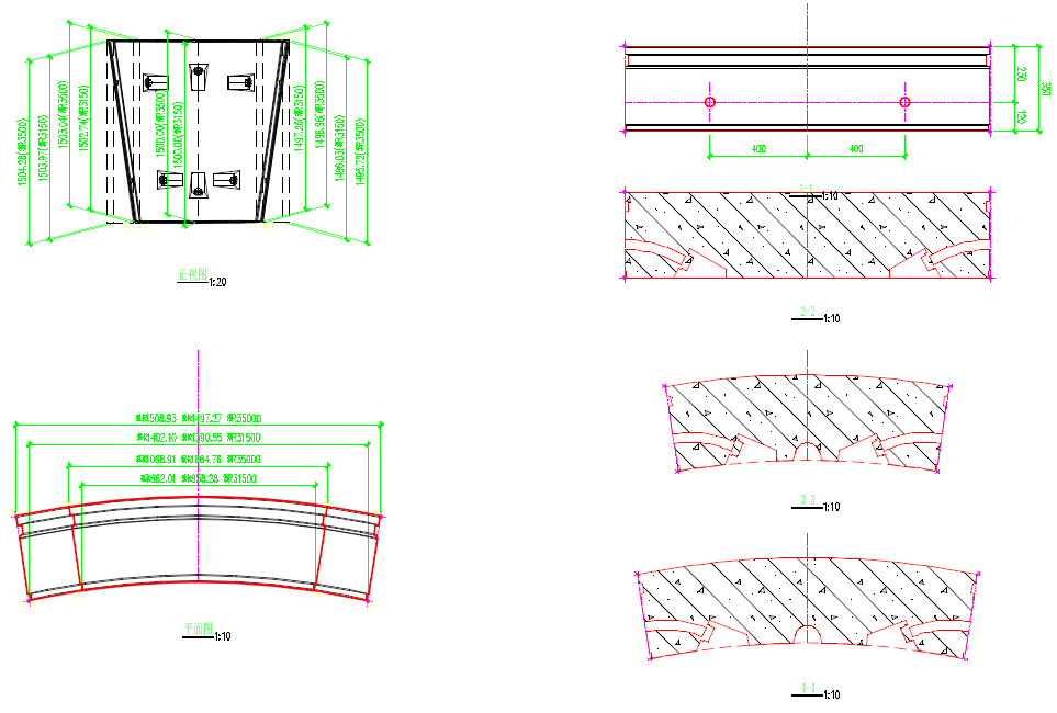
盾构管片自动出图成果如下
通过参数化出图功能,设计人员可以快速、准确地完成盾构管片的设计与出图工作,显著提高设计效率和质量,同时降低设计成本。通过参数化出图功能,设计人员可以快速、准确地完成盾构管片的设计与出图工作,显著提高设计效率和质量,同时降低设计成本。


衬砌圆环图
工具自动提取管片的弧长及弦长表,管片宽度表,以及衬砌圆环图

封顶块结构图
工具自动提取结构轮廓和尺寸标注,无需人为二次标注

标准块和连接块结构图
工具自动提取结构轮廓和尺寸标注,无需人为二次标注

配筋图
工具通过提取盾构管片结构参数化单元获取结构信息,分别配置环向钢筋、纵向钢筋、特殊部位加强筋、拉结筋参数完成盾牌管片钢筋配置和钢筋模型及图纸的自动输出。

钢筋表
通过BIM技术,不仅可以实现管片精细化设计,还可以在施工过程中,利用设计模型和施工测量数据相结合,指导盾构机的掘进姿态,出现偏离时可快速调整盾构机掘进参数,以确保盾构隧道按照设计线路掘进,确保施工质量。
Copyright 2018 Aglos Co., Ltd. 保留所有权。京ICP备18005181号 北京华创汇翔科技有限公司 版权所有
北京市朝阳区霞光里30号院
霄云中心2303室
联系方式